Problemi di geometria
Classe 2a della scuola media
| data di oggi: |
| La bella geometria |
|
|
| Stia zitto! | Parli! |
In questo pagina descriviamo una tecnica utile per la risoluzione dei problemi di geometria.
La prima cosa da fare per la
di un problema di geometria è
quella di leggere la traccia, cercando di ricavare i dati conosciuti del
problema posto.
Successivamente occorre
individuare iInfine occorre
individuare laPuò essere utile la seguente tabella.
quadrato
| Figura geometrica | 1° dato conosciuto | 2° dato conosciuto | 3° dato conosciuto | dato sconosciuto da calcolare | formula risolutiva |
| quadrato | lato l | superficie o area S | S = l² | ||
| quadrato | lato l | diagonale d | d = 1,41 . l | ||
| quadrato | diagonale d | lato l | |||
| quadrato | lato l | perimetro p | p = 4 . l | ||
| quadrato | perimetro p | lato l | l = p/4 | ||
| quadrato | diagonale d | perimetro p | |||
| quadrato | diagonale d | superficie o area S | |||
| quadrato | Superficie S | diagonale d | |||
| quadrato | Superficie S | lato l | |||
| quadrato | lato l | raggio r del cerchio inscritto | ![]() |
||
| quadrato | lato l | raggio r del cerchio circoscritto | |||
| quadrato | diagonale d | raggio r del cerchio circoscritto | ![]() |
||
| quadrato | lato l | diametro d del cerchio inscritto | d = l | ||
| quadrato | lato l | diametro d del cerchio circoscritto | d = 1,41 . l | ||
| quadrato | diagonale d | diametro d del cerchio circoscritto | d = d |
parallelogramma
| Figura geometrica | 1° dato conosciuto | 2° dato conosciuto | 3° dato conosciuto | dato sconosciuto da calcolare | formula risolutiva |
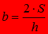
| parallelogramma | base b | altezza h | superficie o area S | S = b . h | |
| parallelogramma | superficie S | altezza h | base b | ||
| parallelogramma | superficie S | base b | altezza h | ||
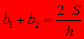
| parallelogramma | lato a | lato b | perimetro | p = 2a + 2b | |
| parallelogramma | perimetro | lato a | lato b |
|
|
| parallelogramma | perimetro | lato b | lato a | ||
| parallelogramma |
angolo |
angolo |
triangolo
qualsiasi
| Figura geometrica | 1° dato conosciuto | 2° dato conosciuto | 3° dato conosciuto | dato sconosciuto da calcolare | formula risolutiva |
| triangolo | lato a | lato b | lato c | perimetro p | p = a + b + c |
| triangolo | base b | altezza h | superficie o area S | ||
| triangolo | lato a | lato b | lato c | superficie o area S | |
| triangolo | superficie S | altezza h | base b |
|
|
| triangolo | superficie S | base b | altezza h | ||
| triangolo | perimetro | lato b | lato c | lato a | a = p - b - c |
| triangolo | perimetro | lato a | lato c | lato b | b = p - a - c |
| triangolo | perimetro | lato a | lato b | lato c | c = p - a - b |
triangolo
equilatero
| Figura geometrica | 1° dato conosciuto | 2° dato conosciuto | 3° dato conosciuto | dato sconosciuto da calcolare | formula risolutiva |
| triangolo equilatero | lato l | perimetro p | p = 3 x l | ||
| triangolo equilatero | perimetro p | lato l | ![]() |
||
| triangolo equilatero | lato l | superficie o area S |
![]() |
||
| triangolo equilatero | superficie S | lato l |
|
||
| triangolo equilatero | altezza h | superficie o area S | ![]() |
||
| triangolo equilatero | superficie S | altezza h | ![]() |
||
| triangolo equilatero | lato l | altezza h | ![]() |
||
| triangolo equilatero | altezza h | lato l | ![]() |


lato più lungo = ipotenusa a
lati più corti = cateti b e c
| Figura geometrica | 1° dato conosciuto | 2° dato conosciuto | 3° dato conosciuto | dato sconosciuto da calcolare | formula risolutiva |
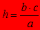
| triangolo rettangolo | lato a | lato b | lato c | perimetro p | p = a + b + c |
| triangolo rettangolo | ipotenusa a | altezza h | superficie o area S | ||
| triangolo rettangolo | cateto b | cateto c | superficie o area S | ||
| triangolo rettangolo | cateto b | cateto c | ipotenusa a | ||
| triangolo rettangolo | ipotenusa a | cateto b | cateto c | ||
| triangolo rettangolo | ipotenusa a | cateto c | cateto b | ||
| triangolo rettangolo | ipotenusa a | cateto b | cateto c | altezza h | |
| triangolo rettangolo | ipotenusa a | cateto b | cateto c | superficie o area S | |
| triangolo rettangolo | superficie S | altezza h | ipotenusa a |
|
|
| triangolo rettangolo | superficie S | ipotenusa a | altezza h | ||
| triangolo rettangolo | perimetro | cateto b | cateto c | ipotenusa a | a = p - b - c |
| triangolo rettangolo | perimetro | ipotenusa a | cateto c | cateto b | b = p - a - c |
| triangolo rettangolo | perimetro | ipotenusa a | cateto b | cateto c | c = p - a - b |
trapezio isoscele trapezio rettangolo
base maggiore = b1
base minore = b2
altezza = h
lato obliquo = l
| Figura geometrica | 1° dato conosciuto | 2° dato conosciuto | 3° dato conosciuto | 4° dato conosciuto | dato sconosciuto da calcolare | formula risolutiva |
| trapezio isoscele | base maggiore b1 | altezza h | lato obliquo l | base minore b2 | b2
=b1- 2 |
|
| trapezio isoscele | base minore b2 | altezza h | lato obliquo l | base maggiore b1 | b1
= b2 +2 |
|
| trapezio isoscele | base maggiore b1 | base minore b2 | lato l | perimetro p | p = b1 + b2 + l + l | |
| trapezio isoscele | base maggiore b1 | base minore b2 | altezza h | perimetro p | p = b1 + b2 +
|
|
| trapezio isoscele | base maggiore b1 | base minore b2 | altezza h | superficie o area S | ||
| trapezio isoscele | superficie S | base maggiore b1 | base minore b2 | altezza h | ![]() |
|
| trapezio isoscele | superficie S | altezza h | b1+b2 | |||
| trapezio isoscele | perimetro p | base maggiore b1 | base minore b2 | lato obliquo l | ||
| trapezio isoscele | perimetro p | base maggiore b1 | lato obliquo l | base minore b2 | b2=p-b1-2l | |
| trapezio isoscele | perimetro p | base minore b2 | lato obliquo l | base maggiore b1 | b1=p-b2-2l | |
| trapezio isoscele | perimetro p | lato obliquo l | b1+b2 | b1+b2 =p - 2l | ||
| trapezio rettangolo | base maggiore b1 | altezza h | lato obliquo l | base minore b2 | b2
=b1- |
|
| trapezio rettangolo | base minore b2 | altezza h | lato obliquo l | base maggiore b1 | b1
= b2 + |
|
| trapezio rettangolo | base maggiore b1 | base minore b2 | altezza h | lato obliquo l | perimetro p | p = b1 + b2 + h + l |
| trapezio rettangolo | base maggiore b1 | base minore b2 | altezza h | perimetro p | p = b1 + b2 +
h+ |
|
| trapezio rettangolo | base maggiore b1 | base minore b2 | lato obliquo l | perimetro p | p = b1 + b2 +
l+ |
|
| trapezio rettangolo | base maggiore b1 | base minore b2 | altezza h | superficie o area S | ||
| trapezio rettangolo | superficie S | base maggiore b1 | base minore b2 | altezza h | ![]() |
|
| trapezio rettangolo | superficie S | altezza h | b1+b2 | |||
| trapezio rettangolo | perimetro p | base maggiore b1 | base minore b2 | lato obliquo l | altezza h | h =p-b1-b2-l |
| trapezio rettangolo | perimetro p | base maggiore b1 | base minore b2 | altezza h | lato obliquo l | l =p-b1-b2-h |
| trapezio rettangolo | perimetro p | base maggiore b1 | altezza h | lato obliquo l | base minore b2 | b2 =p-b1-h-l |
| trapezio rettangolo | perimetro p | base minore b2 | altezza h | lato obliquo l | base maggiore b1 | b1 =p-b2-h-l |
Rombo
lato = l
diagonale verticale = d1
diagonale orizzontale = d2
altezza = h
| Figura geometrica | 1° dato conosciuto | 2° dato conosciuto | 3° dato conosciuto | 4° dato conosciuto | dato sconosciuto da calcolare | formula risolutiva |
| rombo | lato l | perimetro p | p = 4 . l | |||
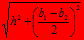
| rombo | diagonale d1 | diagonale d2 | area S | |||
| rombo | diagonale d1 | area S | diagonale d2 |
|
||
| rombo | diagonale d2 | area S | diagonale d1 |
|
||
| rombo | diagonale d1 | diagonale d2 | lato l |
|
||
| rombo | lato l | diagonale d2 | diagonale d1 |
|
||
| rombo | lato l | diagonale d1 | diagonale d2 |
|
||
| rombo | lato l | area S | altezza h |
|
||
| rombo | altezza h | area S | lato l |
|
agosto 2010
prof. Pietro De Paolis